
彦根藩の当主である井伊直孝公をお寺の門前で手招き雷雨から救った
と伝えられる招き猫と井伊軍団のシンボルとも言える赤備え(戦国時
代の井伊軍団編成の一種、あらゆる武具を朱りにした部隊編成のこと
兜(かぶと)を合体させて生まれたキャラクタ-。
----------------------------------------------------------------
【謹告】下記のように、変更いたしました。
短歌の会だけ開催
当日、会場11時半に鮨割烹「銀水」に参集に願います。
解散:14時です。
幹事敬白
--------------------------------------------------------------
【季語と短歌:4月11日】
深吉野の桜吹雪と添い寝する ![]()
高山 宇
『短歌十首貫徹集④』
爆上がり室温湿度どうなるか通貨株価も連動しそう
🪄四十首目に入います。テーマは決めず突っ走ります。
乞うご期待を!?(笑)
⏭️ セルロースナノファイバーとは
植物のセルロースを主成分にした植物繊維をナノメートル(10億分の1
メートル)サイズまでほぐした素材。「環境工学研究所 WEEF」でも、
15年間取り挙げてきた課題(生成AIで指名されたので転記する via
Yahoo JPAN)。
セルロースナノファイバーは、折れ曲がりや凹みなどの欠陥が生じる
ことで、その性能を十分に発揮できないという課題があった。東京大
学などの研究グループが、原料の選択とセルロースを化学的に前処理
することで欠陥を抑制する技術を開発し、米国化学会が出版するナノ
テクノロジーの科学雑誌に発表。
---------------------------------------------------------------------
※1:伊藤智樹 博士課程学生、齋藤継之 教授(東京大学大学院農学生命科学研究科)、大長一
帆 助教(東京大学大学院工学系研究科)、小林加代子 助教(京都大学大学院農学研究科)ら
※2:Tomoki Ito, et al., "Defectless and Uniform Single-Crystallite Dispersions of Sustainable
Wood Nanocellulose with a Regulated Right-Handed Twist Periodicity" Nano Letters
, doi.org/10.1021/acs.nanolett.4c06483, 7, April, 2025
※3:Tomoki Ito, et al., "Atomic-scale dents on cellulose nanofibers: the origin of diverse
defects in sustainable fibrillar materials" Nanoscale Horizons, Vol.7, 1186-1191, 26, August, 2022
-------------------------------------------------------------------------------------------
同研究グループは、顕微鏡技術(原子間力顕微鏡、AFM)と画像処理
技術、画像の統計分析などにより、セルロースナノファイバーの作製
過程で起きる細胞壁の崩壊が凹み欠陥を引き起こし、それが折れ曲が
りや構造の微細な欠損などに影響し(※3)、この原因が原料のパルプ
に起因(パルプ段階の前処理が欠陥抑制に重要)。セルロースナノファ
イバーの欠陥密度とTEMPO酸化反応という分子の安定化(フリーラジ
カル)の酸化条件を解析。その結果、作製過程でセルロースをpHなど
を「穏やかに」すると、3倍以上長くなり、凹みも2/3程度まで減少す
ることを突き止めた。
【展望】パターン解析の手法(ウェーブレット変換)を取り入れ、セ
ルロースナノファイバーのネジレを数値化する手法を提案研究グルー
プは、今回の発見がセルロースナノファイバーが持つ能力を最大限に
引き出すための基礎となるものと期待している。一方、欠陥は単一の
要因によるものではなく、他の要因に関する今後の研究が必要と考え
ている。
✳️ ソニー、世界最小・最軽量 高い測距性能を持つLiDARデプス
センサー「AS-DT1」を商品化
計測精度や距離分解能、測距レンジにおいて高い性能を発揮する「Direct Time of Flight
(dToF)方式」のLiDARデプスセンサー。SPAD(Single Photon Avalanche Diode)センサー
を組み込んだ独自開発のdToF測距モジュールを採用し、距離の計測に複数の測距点を用い
ることで、縦、横、奥行の3次元での距離を正確に測定できるという。 他の測距方式では
検知が難しい、低コントラストの被写体や反射率の低い被写体までの距離も測定可能。人
や什器といったさまざまな対象物が想定される店舗などの環境においても、正確に距離を
測定。具体的には、10mの距離からの計測で、屋内外ともに±5cmの誤差で測距が可能
✳️ 三ツ知 新規事業の育成加速
水素ステーション向けコネクタ27年量産目指
自動車用締結部品を製造する三ツ知(本社春日井市)は、水素関連や電動化製品の育成を
加速する。新規事業として開発してきた、水素脆性(ぜいせい)への耐性を持つコネクタ
の試作品の供給を今年から始める。主に水素ステーションの安全装置向けの製品で、
2027年6月期までの本格量産を目指す。
✳️ レーザー造形技術で次世代の電池を開発
長岡技術科学大学の研究グループは,レーザー誘起局所加熱による溶
融凝固によってイオン伝導する界面形成に成功を公表。
全固体電池は高いエネルギー密度と,極めて高い安全性を実現できる
次世代蓄電デバイスで研究が進められている。現在までに,酸化物ガ
ラスおよびセラミックスからなる全固体電池を創製に成功,社会実装
に向けて産学連携による研究開発を積極的に実施。一般的に,酸化物
セラミックス材料は加工性が低く,部材間の接触が粗悪となり,イオ
ン伝導性の低下に伴う電池性能の低下が課題だったが,加熱すること
で軟化流動を生じるガラスを使用,材料間における自在な界面形成に
より,この課題を解決。
電池部材全体を高温で熱処理するプロセスにより,この界面形成が進
められたが,材料同士の熱物性のミスマッチで、プロセスに制限が生
じる。研究グループは,⓵酸化物全固体ナトリウムイオン電池の負極
機能するスズ系結晶化ガラスを新たに開発。②これまでナトリウムイ
オン電池で有望とされる素系負極は固体電解質、酸化物系のセラミッ
クスとの接着は困難。レーザー誘起局所加熱による溶融凝固によって
イオン伝導する界面形成に成功する。つまり、電気炉による全体を加
熱し電池作製するプロセスは数時間必要で,固体電解質からの成分の
溶出が起こり,できる限り短時間(レーザーによる溶融で1インチサイ
ズの電池を作製するのに10秒程度で作製)で接合できる。さらに、レ
ーザーの焦点で加熱される時間はミリ秒なのでレーザー光を吸収しな
い固体電解質への損傷を抑えることができる。これにより,高速で,
かつ部材を局所的に加熱することができる。
【展望】
レーザー照射による堅牢な部材間の界面形成によって,室温および低
拘束圧の環境で全固体電池が充放電できることを実証。このプロセ
スは粉末積層造形による3Dプリンティングとの親和性が高く,ロボテ
ィクス技術との融合により,新たな機能材料のハイスループット探索,
ドライルームのような人間には過酷な環境下での長時間作業の自動化
に寄与する。
【掲載誌】
Formation of SnO‐based glassy anode for al‐solid‐state battery
prepared by laser‐based powder bed fusion technique
DOI: 10.1111/jace.20543
📌 薄膜太陽電池や水素製造・供給システムなどのコスト削減に大き
く貢献する。
✳️次世代ペロブスカイト系フィルム型太陽電池②
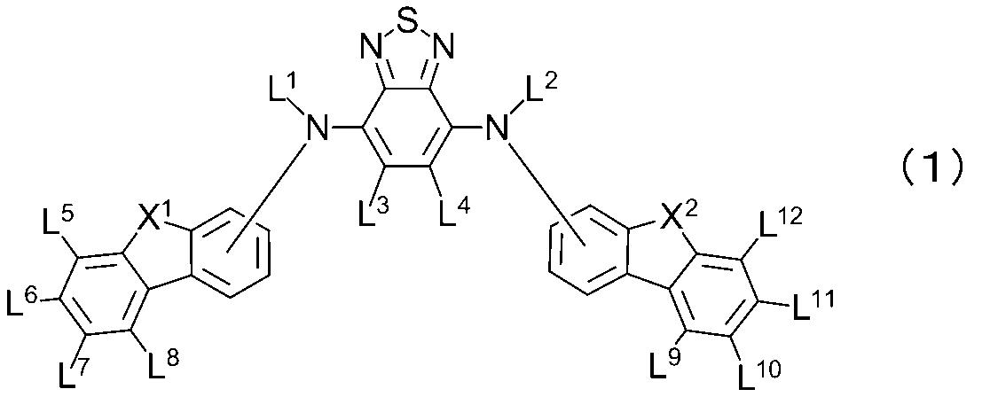
1️⃣特開2025-60472 化合物、正孔輸送材料、およびそれを用いた光
電変換素子 保土谷化学工業株式会社
【要約】
【課題】本発明が解決しようとする課題は、効率よく電流を取り出す
ことが可能な光電変換素子用の正孔輸送材料として有用な化合物、お
よび該化合物を正孔輸送層に用いた、光電変換効率が良好であり、高
い耐熱性を有する光電変換素子ならびに太陽電池を提供すること。
【解決手段】下記一般式(1)で表される化合物。
【化1】
【特許請求の範囲】
【請求項1】
下記一般式(1)で表される化合物。
【化1】前図に掲載図と同じ
[式中、L1およびL2は、独立して、
置換基を有していてもよい炭素原子数6~36の芳香族炭化水素基、
または、置換基を有していてもよい環形成原子数5~36の複素環基
であり、L3~L12は、独立して、
水素原子、ハロゲン原子、シアノ基、ニトロ基、カルボキシル基、ト
リメチルシリル基、置換基を有していてもよい炭素原子数1~20の
直鎖状もしくは分岐状のアルキル基、置換基を有していてもよい炭素
原子数2~20の直鎖状もしくは分岐状のアルケニル基、
置換基を有していてもよい炭素原子数3~10のシクロアルキル基、
置換基を有していてもよい炭素原子数1~20の直鎖状もしくは分岐
状のアルコキシ基、
置換基を有していてもよい炭素原子数6~30のアリールオキシ基、
置換基を有していてもよい炭素原子数3~10のシクロアルコキシ基、
置換基を有していてもよい炭素原子数1~20の直鎖状もしくは分岐
状のアシル基、
置換基を有していてもよい炭素原子数0~20のチオ基、
置換基を有していてもよい炭素原子数0~20のアミノ基、または、
置換基を有していてもよい炭素原子数6~36の芳香族炭化水素基を
表し、X1およびX2は、独立して、酸素原子、硫黄原子、スルホニル
基、NR1またはCR2R3を表し、R1~R3は、独立して、
置換基を有していてもよい炭素原子数1~20の直鎖状もしくは分岐
状のアルキル基、置換基を有していてもよい炭素原子数2~20の直
鎖状もしくは分岐状のアルケニル基、または、置換基を有していても
よい炭素原子数6~36の芳香族炭化水素基を表す。]
【請求項2】 前記一般式(1)において、L1およびL2が、置換基
を有していてもよい炭素原子数6~36の芳香族炭化水素基である、
請求項1に記載の化合物。
【請求項3】 前記一般式(1)において、L1およびL2が、下記一
般式(2)または下記一般式(3)で表される、請求項1に記載の化
合物。【化2】
[式中、R4~R18は、独立して、
水素原子、ハロゲン原子、シアノ基、ニトロ基、カルボキシル基、ト
リメチルシリル基、置換基を有していてもよい炭素原子数1~20の
直鎖状もしくは分岐状のアルキル基、置換基を有していてもよい炭素
原子数2~20の直鎖状もしくは分岐状のアルケニル基、置換基を有
していてもよい炭素原子数3~10のシクロアルキル基、置換基を有
していてもよい炭素原子数1~20の直鎖状もしくは分岐状のアルコ
キシ基、置換基を有していてもよい炭素原子数6~30のアリールオ
キシ基、置換基を有していてもよい炭素原子数3~10のシクロアル
コキシ基、置換基を有していてもよい炭素原子数1~20の直鎖状も
しくは分岐状のアシル基、置換基を有していてもよい炭素原子数0~
20のチオ基、置換基を有していてもよい炭素原子数0~20のアミ
ノ基、置換基を有していてもよい炭素原子数6~36の芳香族炭化水
素基、または置換基を有していてもよい環形成原子数5~36の複素
環基を表し、R4とR5、R5とR6、R6とR7、R7とR8、R9と
R10、R10とR11、R11とR12、R12とR13、R13と
R14、R14とR15、R15とR16、R16とR17、およびR17
とR18は互いに結合して環を形成していてもよい。]
【請求項4】
前記一般式(2)において、R4~R8の少なくとも1つが、置換基
を有していてもよい炭素原子数1~20の直鎖状もしくは分岐状のア
ルコキシ基または置換基を有していてもよい炭素原子数0~20のア
ミノ基で表される、請求項3に記載の化合物。
【請求項5】
前記一般式(3)において、R9~R18の少なくとも1つが、置換
基を有していてもよい炭素原子数1~20の直鎖状もしくは分岐状の
アルコキシ基または置換基を有していてもよい炭素原子数0~20の
アミノ基で表される、請求項3に記載の化合物。
【請求項6】
請求項1~請求項5いずれか一項に記載の化合物で表される正孔輸
送材料。
【請求項7】
請求項6に記載の正孔輸送材料を用いた光電変換素子。
【請求項8】
請求項7に記載の光電変換素子を用いた太陽電池。
----------------------------------------------------------------
【背景技術】【0002】
近年、クリーンエネルギーとして、太陽光発電が注目を浴びており、
太陽電池の開発が盛んに行われている。その中でも、低コストかつ溶
液プロセスで製造可能な次世代型の太陽電池として、ペロブスカイト
材料を光電変換層に用いた太陽電池(以下、ペロブスカイト型太陽電
池と表記)の開発が注目を集めている(例えば、特許文献1、非特許
文献1~2)。【0003】
ペロブスカイト型太陽電池では、素子中に正孔輸送材料を使用する
ことが多い。使用する目的として、(1)正孔を選択的に輸送する機能
を高めて光電変換効率を向上させる、(2)ペロブスカイト光電変換層
と接合して水分や酸素からの影響を受けやすいペロブスカイト材料を
保護する、ことが挙げられる(例えば、非特許文献3)。標準的な正孔
輸送材料としてスピロビフルオレン系有機化合物のSpiro-OM
eTADが使用されることが多いが、当該材料より光電変換特性に高
く寄与する正孔輸送材料の報告は少ない。また、光電変換素子は太陽
光照射下の屋外で使用することが想定されるため、高い耐熱性が求め
られる。
【先行技術文献】
【特許文献】【0004】
【特許文献1】国際公開番号第2017/104792号
【非特許文献】【0005】
【非特許文献1】Journal of the American
Chemical Society,2009年,131巻,P.
6050-6051
【非特許文献2】Science,2012年,388巻,P.64
3-647
【非特許文献3】Chem. Sci.,2019年,10,P.67
48-6769
【発明の概要】
【詳細説明】(※要点箇所のみ記載)
【0163】
初期光電変換効率の取得後、実施例2と同様に加熱1,000時間
後の光電変換効率を得た。初期光電変換効率と得られた加熱1,000
時間後の光電変換効率を用いて式(a-1)より算出した保持率(%)
を表2に示す。
【0164】表1
【0165】 表1の結果から、一般式(1)に該当する化合物を正
孔輸送材料として用いた光電変換素子が、標準的な正孔輸送材料であ
る比較化合物(B-1)を用いた光電変換素子と比較して優れた光電
変換効率を示すことがわかった。
【0166】
【表2】
【0167】
表2の結果から、一般式(1)に該当する化合物を正孔輸送材料と
して用いた光電変換素子が、加熱1,000時間後の光電変換効率に
おいても、従来の標準的な正孔輸送材料である比較化合物(B-1)
を用いた比較例2の光電変換素子と比較して高い光電変換効率を維持
しており、優れた耐熱性を示すことがわかった。
【産業上の利用可能性】
【0168】 本発明による一般式(1)で表される化合物を光電電変
換素子用の正孔輸送材料として用いることにより、良好な光電変換効
率と優れた耐熱性を有する光電変換素子として太陽光エネルギーを電
気エネルギーへと効率良く変換でき、太陽電池としてクリーンエネル
ギーを提供することが可能である。したがって、本発明は産業上の利
用可能性が高い。
【符号の説明】【0169】
1 導電性支持体 2 電子輸送層 3 光電変換層 4 正孔輸送層
5 対極
この項了
2️⃣ 特開2025-55564 機能性二軸延伸ポリプロピレンシート、その
製造方法、及び成形品 株式会社エフピコ
【要約】下図1のごとく、機能発現層(x1)を一方の表面に有する
樹脂フィルム(α)と、機能発現層(x2)を有する二軸延伸ポリプ
ロピレンフィルム(β)とを、前記(x1)層及び(x2)層が接す
るように重ね合わせた多層フィルム(X)を、二軸延伸ポリプロピレ
ンシート(Y)の少なくとも一方の表面に、前記前記(β)中の二軸
延伸ポリプロピレンフィルムが接する様に積層した積層体とし、これ
を加熱融着させてなることを特徴とする機能性二軸延伸ポリプロピレ
ンシート。】加飾性に代表される機能性付与層の接着性に優れ、かつ、
剛性と靭性に優れた二軸延伸ポリプロピレン積層シート及びその成形
品を提供する。
図1 樹脂フィルム(α)、二軸延伸ポリプロピレンフィルム(β)、及
び二軸延伸ポリプロピレンシート(Y)が積層される状態を示す概念
図
【符号の説明】【0124】
α:樹脂フィルム β:二軸延伸ポリプロピレンフィルム x1:機能
発現層 x2:機能発現層 X:多層フィルム Y:二軸延伸ポリプ
ロピレンシート y1:多層二軸延伸フィルム A:ポリプロピレン
B:エチレン-プロピレンランダム共重合体 C:酸変性ポリプロピ
レン 2:金型 4:熱板/冷却板モジュール 6:油圧シリンダ
8:昇降ユニット 10:昇降ガイド 12:引き出しユニット
20:製品進行方向 60:積層シート前駆体(pMS) 62:
多層二軸延伸フィルム(X) 64a:多層二軸延伸フィルム(X)
64b:多層二軸延伸フィルム(X) 100:連続加圧成形装置
200:枚葉式真空貼合装置 201:装置本体 202:チャン
バー 203:油圧シリンダー 204:熱板 205:熱板
d:ダイヤフラム s:ステンレス板 sl:シリコンシート
pt:ポリテトラフルオロエチレンシート LOP:積層シート
【発明の効果】【0010】
本発明によれば、加飾性に代表される機能性付与層の接着性に優れ、
かつ、剛性と靭性に優れた二軸延伸ポリプロピレン積層シート及びそ
の成形品を提供できる。
【特許請求の範囲】
【請求項1】 機能発現層(x1)を一方の表面に有する樹脂フィルム
(α)と、機能発現層(x2)を有する二軸延伸ポリプロピレンフィル
ム(β)とを、前記(x1)層及び(x2)層が接するように重ね合わ
せた多層フィルム(X)を 二軸延伸ポリプロピレンシート(Y)の少
なくとも一方の表面に、前記前記(β)中の二軸延伸ポリプロピレンフ
ィルムが接する様に積層した積層体とし、これを加熱融着させてなる
ことを特徴とする機能性二軸延伸ポリプロピレンシート。
【請求項2】前記樹脂フィルム(α)が、樹脂フィルムの一方の表面
に、機能発現層(x1)として加飾層を有するものであって、かつ、
前記二軸延伸ポリプロピレンフィルム(β)が、機能発現層(x2)
として加飾層を有するものである請求項1記載の機能性二軸延伸ポリ
プロピレンシート。
【請求項3】 前記機能発現層(x1)が、ウレタン系インキ又はハ
ロゲン化ポリオレフィン系インキの印刷層であり、かつ、機能発現層
(x2)が、ウレタン系インキ又はハロゲン化ポリオレフィン系イン
キの印刷層である請求項2記載の機能性二軸延伸ポリプロピレンシート。
【請求項4】 前記樹脂フィルム(α)を構成する樹脂フィルムが、ポ
リプロピレンフィルムである請求項3記載の機能性二軸延伸ポリプロ
ピレンシート。
【請求項5】 前記二軸延伸ポリプロピレンフィルム(β)が、二軸延
伸ポリプロピレンフィルムからなるa層と、融点110~180℃の
オレフィン系樹脂からなるb層又は酸基含有ポリオレフィン系樹脂か
らなるc層とから構成され、かつ、該b層又はc層上に印刷層が形成
されている請求項4記載の機能性二軸延伸ポリプロピレンシート。
【請求項6】 二軸延伸ポリプロピレンシート(Y)が、二軸延伸ポ
リプロピレンフィルムからなるa層と、融点110~180℃のオレ
フィン系樹脂からなるb層とが交互に積層された構造を有する多層シ
ート(Y2)である請求項5記載の多層シート。
【請求項7】 前記多層シート(Y2)が、前記a層を構成する二軸延
伸ポリプロピレンフィルム(A)と、その少なくとも一方の表面に前
記b層を構成する二軸延伸オレフィン系樹脂フィルム(B)が積層さ
れた多層二軸延伸フィルム(y1)を複数毎重ね熱融着することによ
って形成されるものであり、かつ、該多層二軸延伸フィルム(y1)
におけるMD方向の延伸倍率が2.8~8倍、TD方向の延伸倍率が
2.5~12倍のものである、請求項6記載の多層シート。
【請求項8】 前記多層二軸延伸フィルム(y1)が、前記二軸延伸ポ
リプロピレンフィルム(A)の両表面に前記二軸延伸オレフィン系樹
脂フィルム(B)を含むBAB型フィルムであり、かつ、その厚み30
~400μmの2種3層フィルムであり、前記多層シート(Y2)は、
前記多層二軸延伸フィルム(y1)を2~60枚積層してなる、請求
項7記載の多層シート。
【請求項9】 機能発現層(x1)を一方の表面に有する樹脂フィル
ム(α)と、機能発現層(x2)を有する二軸延伸ポリプロピレンフ
ィルム(β)と、二軸延伸ポリプロピレンシート(Y)とを、前記(
x1)層及び(x2)層が接するように、かつ、前記二軸延伸ポリプ
ロピレンシート(Y)の少なくとも一方の表面に、前記(β)中の
二軸延伸ポリプロピレンフィルムが接する様に積層した積層体とし、
これを加熱融着させることを特徴とする機能性二軸延伸ポリプロピレ
ンシートの製造方法。
【請求項10】 前記機能発現層(x1)を一方の表面に有する樹脂
フィルム(α)と、前記機能発現層(x2)を有する二軸延伸ポリプ
ロピレンフィルム(β)と、前記二軸延伸ポリプロピレンシート(Y)
とを重ね合わせ、多層シート前駆体(pMS)を形成する準備工程と、
前記多層シート前駆体(pMS)を加熱しながら、面で加熱プレス
するプレス工程と、を含む、請求項9記載の機能性二軸延伸ポリプロ
ピレンシートの製造方法。
【請求項11】前記多層シート前駆体(pMS)が、二軸延伸ポリプ
ロピレンフィルム(A)の両表面に前記二軸延伸オレフィン系樹脂フ
ィルム(B)を含むBAB型フィルムであって、かつ、その厚み30
~400μmの2種3層フィルム多層二軸延伸フィルム(y1)を2
~60枚積層した上に、前記機能発現層(x1)を一方の表面に有す
る樹脂フィルム(α)と、前記機能発現層(x2)を有する二軸延伸
ポリプロピレンフィルム(β)とを重ね合わせたものである請求項1
0記載の機能性二軸延伸ポリプロピレンシートの製造方法。
【請求項12】請求項1~8の何れか一つに記載の機能性二軸延伸ポ
リプロピレンシートの成形品。
【詳細説明】
【発明を実施するための形態】【0012】
本発明の機能性二軸延伸ポリプロピレンシートは、前記した通り、機
能発現層(x1)を一方の表面に有する樹脂フィルム(α)と、機能
発現層(x2)を有する二軸延伸ポリプロピレンフィルム(β)とを、
前記(x1)層及び(x2)層が接するように重ね合わせた多層フィ
ルム(X)を 二軸延伸ポリプロピレンシート(Y)の少なくとも一
方の表面に、前記(β)中のポリプロピレンフィルムが接する様に積
層した積層体とし、これを加熱融着させてなるものである。
【0013】 ここで、樹脂フィルム(α)に設けられた機能発現層(
x1)及び二軸延伸ポリプロピレンフィルム(β)に設けられた機能
発現層(x2)は、例えば、加飾層、接着層、ガスバリア層など各種
の機能を発現する層であればよく、各基材に対して印刷又は塗工する
ことによって形成することができる。即ち、樹脂フィルム(α)に機
能発現層(x1)を印刷又は塗工によって形成させた後に、二軸延伸
ポリプロピレンフィルムに貼合しようとしても二軸延伸ポリプロピレ
ンフィルムが難接着性であるために接着強度に擦れた積層体は得られ
難い。そこで、二軸延伸ポリプロピレンフィルム(β)側にも印刷又
は塗工によって機能発現層(x2)を設け、機能発現層(x1)表面
と機能発現層(x2)表面とが接するように融着させることにより接
着性に優れた積層体となる。
【0014】 斯かる機能発現層(x1)及び機能発現層(x2)が接
着層である場合には、樹脂フィルム(α)としてポリエチレンテレフタ
レート、ポリスチレン等を用いることにより、異種基材フィルム同士
を接着させることが可能となる他、樹脂フィルム(α)として紫外線
カットフィルムを用いれば、機能性二軸延伸ポリプロピレンシートに
対するUV光透過量を低減できる。また、例えば偏光板を用いて反射
防止性能を付与させることもできる。本発明では、特に、機能発現層
(x1)及び機能発現層(x2)が加飾層である場合、当該加飾層表
面は表面エネルギーが小さく相互に接着させることができ、本発明の
効果がより顕著なものとなる。【0015】
加飾層を形成するには、加飾用インキをグラビア印刷、スクリーン印
刷等定法により印刷するかあるいはシルクスクリーン印刷、グラビア
印刷、オフセット印刷、凸版印刷、フレキソ印刷等の各種印刷方法等;
フローコート法、ドロップキャスト法、スピンコート法、バーコート
法、スプレーコート法、カーテンコート法、ディップコート法および
ダイコート法等の各種塗工方法によって形成することができる。
【0016】 この際、印刷または塗工を施す前に、樹脂フィルム(α)
及び/又は二軸延伸ポリプロピレンフィルム(β)の表面を1)コロナ
処理を行う、2)アンカーコート層を設ける、または3)コロナ処理
後のアンカーコート層を設けることが印刷または塗工面の密着強度が
良好なものとなる点から好ましい。【0017】
加飾用インキとしては、ポリプロピレンに対する密着性に優れたもの
が好ましく、例えば、ポリエーテル型ウレタン樹脂、ポリエーテルポ
リエステル型ウレタン樹脂、ポリエーテルポリエステル型ポリウレタ
ンポリウレア、酸基含有ポリエステルポリウレタンポリウレア、スチ
レン-アクリル樹脂変性ポリエーテル型ウレタン樹脂等のウレタン樹
脂;塩素化ポリプロピレン、アクリル酸変性ポリプロピレン、アクリ
ル酸マレイン酸グラフト変性ポリプロピレン等の変性ポリプロピレン;
前記ウレタン樹脂と変性ポリプロピレンとの混合樹脂が挙げられる。
【0018】 これらのインキ用樹脂は、溶剤系であっても、水溶性乃
至水分散性のものであってもよいが、特に環境負荷軽減及び安全性の
点から、アルコール系モノソルベント、水性乃至水分散型のものが好
ましい。
アルコール系モノソルベント用のインキ用樹脂としては、ポリエー
テルポリエステル型ポリウレタンポリウレアが挙げられ、水溶性乃至
水分散型のインキ用樹脂としては、ポリエーテル型ウレタン樹脂、ス
チレン-アクリル樹脂変性ポリエーテル型ウレタン樹脂、酸基含有ポ
リエステルポリウレタンポリウレア等が挙げれる。特に、ポリプロピ
レン基材との密着性が良好なものとなる点からポリエーテル型ウレタ
ン樹脂、スチレン-アクリル樹脂変性ポリエーテル型ウレタン樹脂に
変性ポリプロピレンを一部併用したものが好ましく、更に、固形分比
率で10質量%以下の割合でエチレン-酢酸ビニル共重合を併用して
もよい。【0019】
ここで、アルコール系モノソルベントのインキを調整する際に用いら
れるアルコール系溶剤としては、例えば、メタノール、エタノール、
1-プロパノール、2-プロパノール、1-ブタノール、2-ブタノ
ール等のアルコール系溶剤が挙げられる。これらの中でも、特に、速
乾性、臭気などの点から、エタノール、1-プロパノール、2 - プ
ロパノールが好ましい。【0020】
次に、前記二軸延伸ポリプロピレンフィルム(β)は、特に限定され
るものではないが、例えば、二軸延伸ポリプロピレンフィルムからな
るa層と、融点110~180℃のオレフィン系樹脂からなるb層又
は酸基含有ポリオレフィン系樹脂からなるc層とから構成されたもの
であることが、機能発現層(x2)や二軸延伸ポリプロピレンシート
(Y)と該b層又はc層と接着させた際に、優れた接着性を発現する
点から好ましい。とりわけ、機能発現層(x2)が加飾層であったと
きにインキがb層又はc層と良好に接着することとなり好ましく、特
に、二軸延伸ポリプロピレンフィルムからなるa層と、その両表層に
融点110~180℃のオレフィン系樹脂からなるb層を有するもの
であることが印刷層との密着性に優れる点から好ましい。【0021】
ここで、二軸延伸ポリプロピレンフィルム(β)が、二軸延伸ポリプ
ロピレンフィルムからなるa層と、融点110~180℃のオレフィ
ン系樹脂からなるb層又は酸基含有ポリオレフィン系樹脂からなるc
層とから構成されたものである場合、多層二軸延伸フィルム(β)は、
二軸延伸ポリプロピレンフィルム(A)と二軸延伸オレフィン系樹脂
フィルム(B)とをラミネートによって、或いは、共押出法によって
製造することができる。なかでも層間の密着性が良好なものとなり、
また、表面平滑性も良好なものとなる点から、共押出法で製造するこ
とが好ましい。
ー 中 略 ー
【0100】 [多層シートの用途]
以上詳述した本発明の積層シートは、プラスチック材料として優れた
剛性を有するものであり、アルミニウム代替材料、CFRP代替材料、
鋼板代替材料として工業的に広く利用することが可能であり、例えば
自動車外装材、自動車内装材、自動車構造材、空飛ぶ自動車外装材、
建築外壁材、建築内装材、太陽電池基材、ペロブスカイト太陽電池基
材、ペロブスカイト太陽電池賦形用シート、量子ステルス光学材料、
物流ドローンボディー材、サーフボード、風力発電ブレード、船舶外
壁材、リチウムイオンバッテリーケース材、リチウムイオンバッテリ
ーの電極基材、水素タンク構造材、食品トレー、医療用トレー等が挙
げられる。とりわけ機能発現層(x1)及び機能発現層(x2)とし
て加飾層を採用する場合には、高度な意匠性を持った積層シートとな
り、自動車外装材、建築外壁材として、製造工程における所謂塗装レ
ス化が可能となる。【0101】
更に、ペロブスカイト太陽電池基材、ペロブスカイト太陽電池賦形
用シートの場合には、機能発現層にバリア層、難燃層、紫外線吸収層
を設けることにより耐久性や難燃性付与に貢献することができる。
【0102】 また、ペロブスカイト太陽電池賦形用シートは、例え
ばフィルム状のペロブスカイト太陽電池を前記前駆体(pMS)の層
間に挟み込み加熱プレスすることによりペロブスカイト太陽電池フィ
ルムが埋設された積層シートとなり、自動車ルーフ材、ソーラーカー
ポート、バルコニー腰壁、住宅屋根材など各種用途における必要な形
状に賦形することができる。これにより太陽電池フィルムを貼り合わ
せる場合に比べ、強風や災害時などの外力に対して強靭な太陽電池構
造体を得ることができる。更に、本発明の多層シート中に太陽電池セ
ルが完全に埋設されることから、湿気や水分から完全に遮断され、水
分による劣化を良好に防止することができる。
【実施例】【0103】
以下、本発明を実施例により詳細に説明するが、本発明はこれにより
限定されるものではない。
【0104】(原料)
・BAB共押出フィルム1:サントックス社製、層構成:B/A/B、
厚み:50μm、B/A/Bの厚さ比:5/90/5、延伸倍率:5×
9倍 A:ポリプロピレン(エチレン含有率0.2質量%、Mw/Mn
=9、キシレン不溶分含有率98.2質量%、mmmm=98.3、
核剤含有率0.05質量%、t1/2:2.3秒)
B:エチレン-プロピレンランダム共重合体(融点151℃)
・BAA共押出フィルム:サントックス社製共押出フィルム、層構成:
B/A/A、厚み:50μm、B/A/Aの厚さ比:5/90/5、延
伸倍率:5×9倍 A:ポリプロピレン(エチレン含有率0.2質量
%、Mw/Mn=9、キシレン不溶分含有率98.2質量%、mmmm
=98.3、核剤含有率0.05質量%、t1/2:2.3秒)
B:エチレン-プロピレンランダム共重合体(融点151℃)
・BAC共押出フィルム:サントックス社製共押出フィルム、層構成:
B/A/A、厚み:50μm、B/A/Cの厚さ比:5/90/5、
延伸倍率:5×9倍 A:ポリプロピレン(エチレン含有率0.2質
量%、Mw/Mn=9、キシレン不溶分含有率98.2質量%、
mmmm=98.3、核剤含有率0.05質量%、t1/2:2.3秒)
B:エチレン-プロピレンランダム共重合体(融点151℃)
C:酸変性ポリプロピレン【0105】
ー 中略 ー
<剥離試験>
上記各フィルムの印刷層における剥離試験を、JIS K6854-
1に準拠し、25mm幅×長さ150mmの試験片、ストローク50
mm、試験速度500mm/分の条件で90度引張試験を実施した。
結果を表1に示す。
表1.
ー 中略 ー
【0119】<曲げ弾性率>
前記(1)、(2)、(3)の位置を中心とする25mm×60mmの短
冊状試験片を、TD方向を長辺とするもの、MD方向を長辺とするも
のをそれぞれ切り出し、TD方向とMD方向の曲げ弾性率をJIS
K7171に準拠し測定した。
・使用機器:AUTOGRAPH AG-X plus(島津製作所製)
・下部支点間距離:20mm
・試験速度:0.43mm/分
・ストローク:1mm
・弾性率算出方法:ストローク0.05mmと0.25mmの2点の
傾き
・プロット採取開始点:3N
ここで変動係数は、標準偏差を平均で除した値[(標準偏差/平均)×
100(%)]で算出される値である。
【0120】
表2.
【0121】
表2の結果から明らかなように、(1)、(2)、(3)の各位置におい
ていずれも曲げ弾性率が高く、かつ、その差も小さく面内の強度の斑
の小さいものであった。
【0122】<引張弾性率測定>
JIS K7161に準拠し、下記の条件にて引張試験弾性率を前記
(1)、(2)、(3)のそれぞれの位置におけるMD方向とTD方向の
引張弾性率を測定した。
・使用機器:AUTOGRAPH AG-X plus(島津製作所製)
・試験片:ダンベル1号型
・チャック間距離:100mm
・試験速度:1mm/分
・ストローク:1mm
・弾性率算出方法:ストローク0.05mmと0.25mmの2点の
傾き
・プロット採取開始点:3N
ここで変動係数は、標準偏差を平均で除した値[(標準偏差/平均)×
100(%)]で算出される値である。
【0123】【表3】
表3の結果から明らかなように、(1)、(2)、(3)の各位置におい
ていずれも引張弾性率が高く、かつ、その差も小さく面内の強度の斑
の小さいものであった。
この項了
📌これを考察中、「色素増感太陽電池事業化プラン」作業の日々を思
い出し、思わず吹き出してしまった。有機デバイス製造開発として続
くものだが、「実存主義的な体験は大切」という結論だが、上目線で
で言えたものではない。シャドウマスク製造事業の立ち上げがどんも
のものだったかを思い出すのだ。止まれ、接着・接合法はいまでは、
超音波、レーザ、画像処理装置などで解決できる(関連機器は非常に
高価なものが多い)。







※コメント投稿者のブログIDはブログ作成者のみに通知されます